FBO Director
Home
eBooks
FAQs
Setup Guides
QuickStart Guide
Wireless Fuel
Contact
Videos
Free Trial
Login
FBO Director Software Screen Capture Image Galleries
Screen Capture Galleries of the Various Functions and Reports in FBO Director
FBO Director Software Screen Captures
FBO Director allows you to setup recurring charges so you do not need to spend hours or days charging your monthly charges. Simply set them up once and run them only as often as you need to.
To run periodic billing in FBO Director, simply search the period you wish to run. You can then validate the amounts to be charged before proceeding.
The FBO Director dashboard allows you to see and search everything at a glance; recent invoices, fuel tickets, reservations, and flights. Access reports and configure graphs to track sales.
View All FBO Director Software Screen Captures Images
Creating an Invoice in FBO Director
To create an invoice in FBO Director, start by clicking the "Create an Invoice" link in the navigation menu.
On the FBO Director invoice page start by entering a customer code or a tail number. For transient customers use "Valued Customer"
After you select a customer be sure to check the customer alerts to the right of the customer address block. You can click these notes to see an expanded display.
View All Creating an Invoice in FBO Director Images
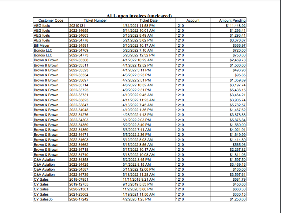
Finding an Invoice in FBO Director
To search for invoices in FBO Director start by clicking on the Browse Invoices link in the navigation menu.
Once you are on the browse invoices page, use the filters at the top of the form to find the invoice you are looking for.
Once you locate the invoice you are searching for there are a variety of tasks you can perform on the invoice from the Browse invoices page.
View All Finding an Invoice in FBO Director Images
Periodic Billing in FBO Director
To setup periodic billing in FBO Director start by browsing to the periodic billing setup page; [Customers], [Periodic Billing], [Setup Recurring Billing] in the navigation menu.
Click the Add Record button to add a new item to be billed periodically. Once you fill out the form and click on the Save button the item will be scheduled for regular billing.
Sales Descriptions can be replaced in periodic billing by entering a Replacement Sales Description. Click the Orange Key icon to display variables you can use that will change over time.
View All Periodic Billing in FBO Director Images
Daily Reports
List of Daily Reports in FBO Director
Part One of the Daily Closing Report
Part Two of the Daily Closing Report
View All Daily Reports Images
Fuel Reports
FBO Director Fuel Inventory Report List
Fuel Meter Reconciliation Report in FBO Director
FBO Director Fuel Inventory on Hand Report
View All Fuel Reports Images
Accounting Reports
FBO Director Accounting Reports List
Inventory Listing Report in FBO Director
FBO Director Inventory Valuation Report
View All Accounting Reports Images
Sales Report
List of Sales Reports in FBO Director
Sales by Customer Report in FBO Director
FBO Director Sales by Tail Number Report
View All Sales Report Images
Please wait while your data loads.